RUBY
[통계]확률 이론 1) 이산형 확률 분포 본문
통계
4. 확률 분포
1) 이산형 확률 분포
통계학에서 자주 사용하는 분포에 대해서 설명
1. 이산형 확률 분포
확률 분포(probability distribution)
- 확률 변수 X가 취할 수 있는 모든 값과 그 값을 나타날 확률을 표현한 함수

이산형 확률 분포
- 베르누이 분포
- 이항분포
- 포아송분포
- 기하분포
- 음이항분포
- 초기하분포
연속형 확률 분포
- 균일분포
- 정규분포
- 감마분포
- 지수분포
- 카이제곱분포
- 베타분포
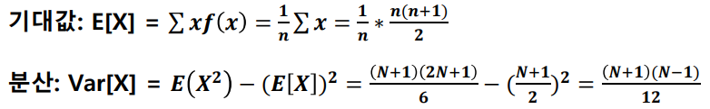
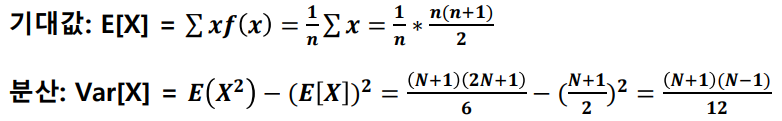
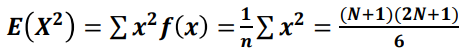
이산형 균등 분포(discrete uniform distribution)
- 확률 변수 X가 유한개이고, 모든 확률 변수에 대하여 균일한 확률을 갖는 분포를 이산형 균등 분포라고 함


- 주사위를 한번 굴려서 나오는 숫자를 확률 변수 X라고 하면, 확률 변수 X는 아래와 같음

- 이산형 균등분포의 기대값



베르누이 시행(Bernoulli trial)
- 각 시행의 결과가 성공, 실패 두가지 결과만 존재하는 시행을 베르누이 시행이라고 함
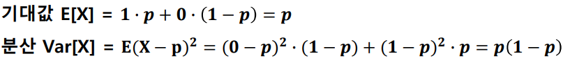
- 베르누이 시행에서 성공이 ‘1’, 실패가 ‘0’의 값을 갖을 때 확률 변수 X의 분포를 베르누이 분포(Bernoulli distribution)라고 하며 다음과 같이 정의함

- 베르누이 분포의 평균: P, 분산: p(1-p)

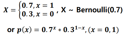
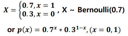
- 예제4.1) 파란공 7개, 빨간공 3개가 들어있는 주머니에서 공 하나를 뽑을 때, 파란공이면 성공 빨란공이라면 실패인 실험을 한다고 가정하자. 이때 베르누이 분포를 정의하면

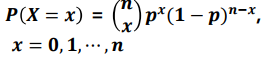
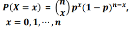
이항분포(Binomial distribution)
- 연속적인 베르누이 시행을 거처 나타나는 확률 분포
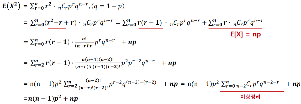
- 서로 독립인 베르누이 시행을 n번 반복해서 실행 했을 때, 성공한 횟수 X의 확률 분포

- 예시) 축구선수의 패널티킥 성공률이 80%일때, 10번의 기회에서 성공횟수와 그 확률을 구하면 아래와 같음

- 이항분포의 기대값: np, 분산: np(1-p)



예제4.2) 반도체 공장에서 불량이 발생할 확률이 10%라고 하자. 10개의 제품을 생성했을때 불량이 2개 이하일 확률을 구하시오



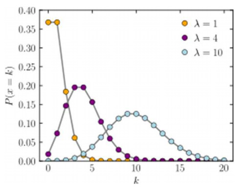
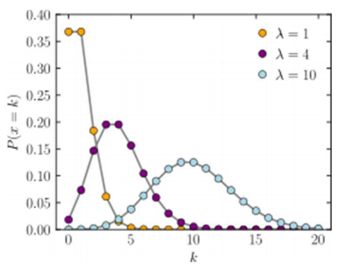
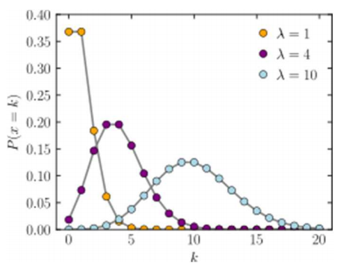
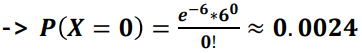
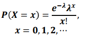
포아송 분포(Poisson distribution)
- 어느 희귀한 사건이 어떤 일정한 시간대에 특정한 사건이 발생할 확률 분포 임
- 예시) 야구장에서 파울볼을 잡을 횟수, 버스 정류장에서 특정 버스가 5분 이내에 도착한 횟수, 1년간 지구에 1미터 이상의 운석이 떨어지는 수 등
포아송 분포의 조건
- 어떤 단위구간(예, 1일)동안 이를 더 짧은 작은 단위의 구간(예: 1시간)로 나눌 수 있고 이러한 더 짧은 단위구간 중에 어떤 사건이 발생할 확률은 전체 척도 중에서 항상 일정
- 두 개 이상의 사건이 동시에 발생할 확률은 0에 가까움
- 어떤 단위구간의 사건의 발생은 다른 단위구간의 발생으로부터 독립적임
- 특정 구간에서의 사건 발생확률은 그 구간의 크기에 비례함
- 포아송분포 확률 변수의 기댓값과 분산은 모두 λ 임


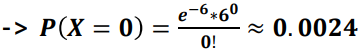
예제4.3) 야구장에서 경기당 홈런볼을 잡는 관객이 평균 3명 이라고 가정하자
1. 오늘 경기에서 2명 이상이 홈런볼을 잡을 확률을 구하시오
2. 오늘과 내일 동안 경기에서 홈런볼을 잡지 못할 확률을 구하시오
풀이)
1. 평균 3명이라면 확률 변수 X는 ~ posson(3)를 따른다.

2. 하루 평균 3명이라면 2일 동안 홈런볼을 잡을 확률 변수 X는 ~ posson(3 * 2)를 따른다.

이항 분포의 포아송 근사

예시) 이항 분포와 포아송 비교
아래의 표는 엑셀로 가능하며 분포를 표현하는 함수식으로 작성해 보시오



기하분포(geometric distribution)
어떤 실험에서 처음 성공이 발생하기 까지 시도한 횟수 X의 분포, 이때 각 시도는 베르누이 시행을 따름

예시) 축구선수 손흥민의 필드골 성공 확률이 30%일 때, 5번째 슛팅에서 골을 넣을 확률 분포


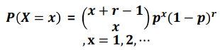
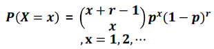
음이항분포(negative binomial distribution)
어떤 실험에서 성공확률이 p일 때, r번의 실패가 나올 때 까지 발생한 성공 횟수 X의 확률 분포

예시) 농구 선수 허훈의 자유투 성공 확률이 90%일 때, 3번째 실패가 나올 때 까지 성공시킨 자유투가 10번일 확률


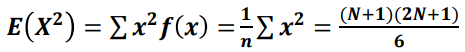
| 분포 | 정의 | 이산형분포 함수 | 기호 | 평균, 분산 | 예시 |
| 이산형균일 분포 |
확률 변수 X가 유한개이고, 모든 확률 변수에 대하여 균일한 확률을 갖는 분포를 이산형 균등 분포 | ![]() |
![]() |
주사위를 한번 굴려서 나오는 숫자를 확률 변수 X | |
| 베르누이 분포 |
베르누이 시행에서 성공이 ‘1’, 실패가 ‘0’의 값을 갖을 때 확률 변수 X의 분포 | 파란공 7개, 빨간공 3개가 들어있는 주머니에서 공 하나를 뽑을 때, 파란공을 뽑을 확률 |
|||
| 이항분포 | 서로 독립인 베르누이 시행을 n번 반복 해서 실행 했을 때, 성공한 횟수 X의 확률 분포 |
![]() |
축구선수의 패널티킥 성공률이 80%일때, 10번의 기회 에서 성공횟수 그 확률 |
||
| 포아송분포 | 어느 희귀한 사건이 어떤 일정한 시간 대에 특정한 사건이 발생할 확률 분포 | ![]() |
야구장에서 파울볼을 잡을 횟수 | ||
| 기하분포 | 어떤 실험에서 처음 성공이 발생하기까지 시도한 횟수 X의 분포 | ![]() |
축구선수 손흥민의 필드골 성공 확률이 30%일 때, 5번 째 슛팅에서 골을 넣을 확률 분포 | ||
| 음이항분포 | 어떤 실험에서 성공확률이 p일 때, r번의 실패가 나올 때 까지 발생한 성공 횟수 X의 확률 분포 | ![]() |
![]() |
농구 선수 허훈의 자유투 성공 확률이 90%일 때, 3번째 실패가 나 때 까지 성공시킨 자유투가 10번일 확률 |
'데이터 분석 > 통계' 카테고리의 다른 글
| [통계]모집단과 표본 분포 1)모집단과 표본 (0) | 2023.11.14 |
|---|---|
| [통계]확률 이론 2) 연속형 확률 분포 (1) | 2023.11.14 |
| [통계]확률 이론 (0) | 2023.11.14 |
| [통계]데이터의 이해 (1) | 2023.11.14 |
| [통계]기초 통계학 개요 (0) | 2023.11.14 |

















