RUBY
[통계]확률 이론 2) 연속형 확률 분포 본문
통계
4. 확률 분포
2) 연속형 확률 분포
통계학에서 자주 사용하는 분포에 대해서 설명
2. 연속형 확률 분포
확률밀도함수(probability density function)
연속형 확률 변수 X에 대해서 함수 f(x)가 아래의 조건을 만족하면 확률밀도함수라고 함


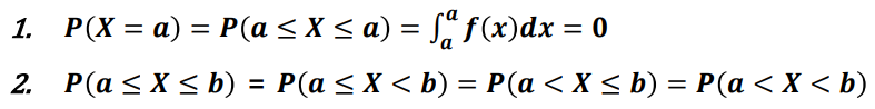
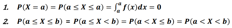
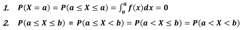
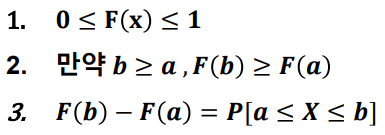
확률 밀도 함수의 성질

확률밀도함수의 평균과 분산

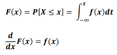
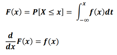
누적분포함수(cumulative density function)
확률밀도함수를 적분하면 누적분포함수가 됨


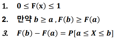
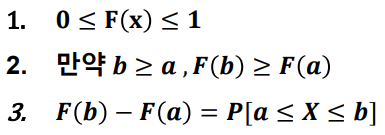
누적분포함수의 성질

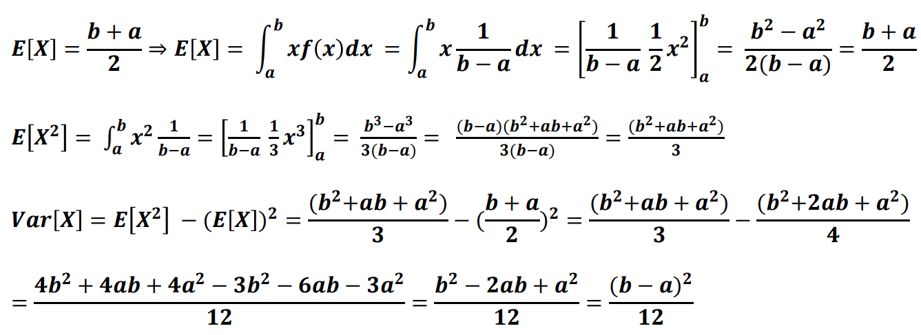
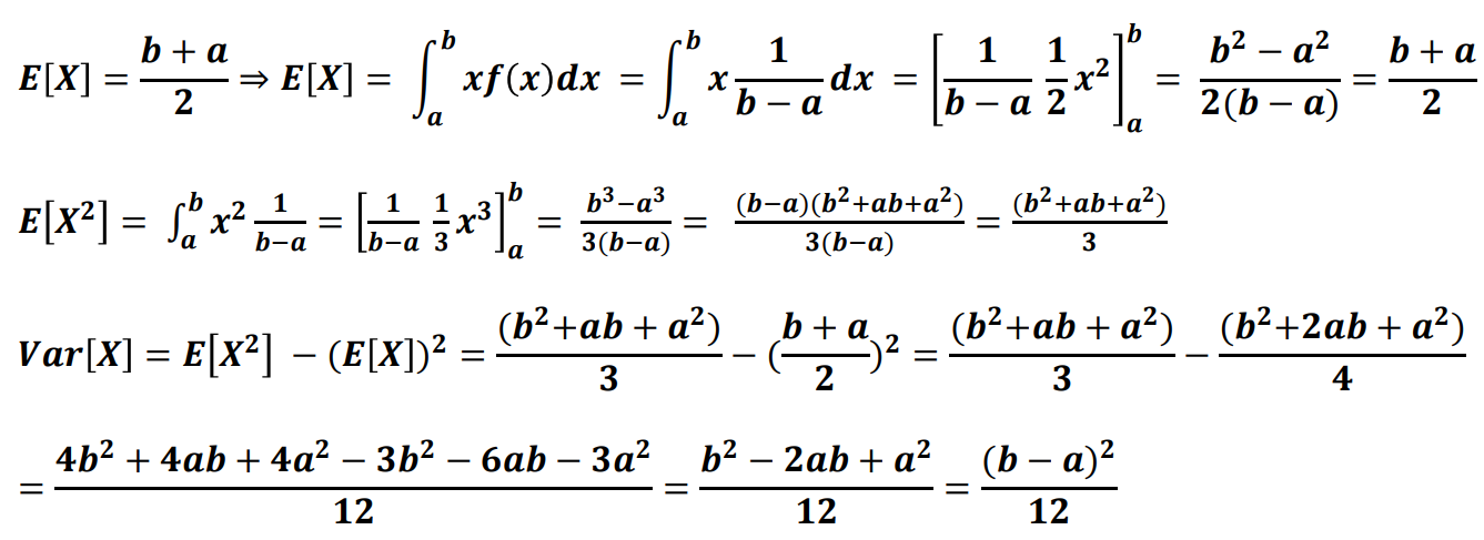
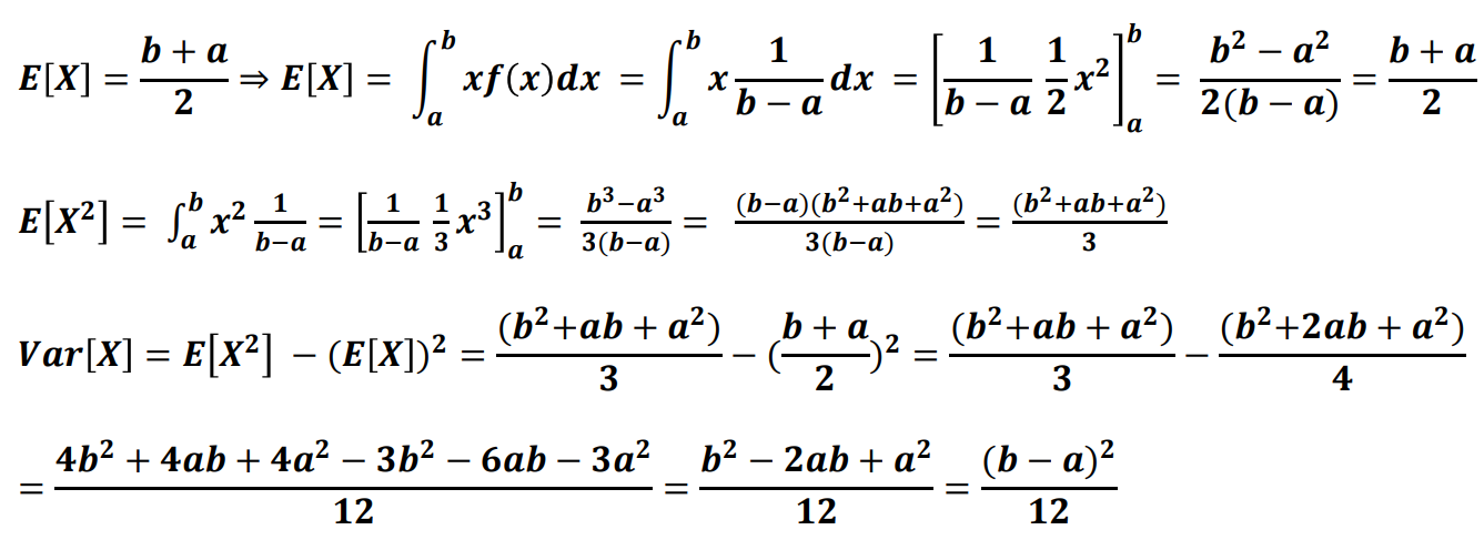
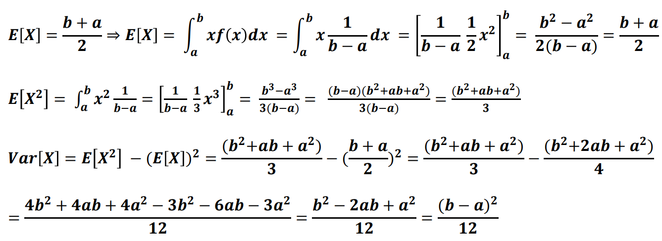
균일분포(uniform distribution)
확률 변수가 X가 a와 b사이에서 아래와 같은 확률 밀도 함수(pdf)를 같음

균일 분포의 평균, 분산

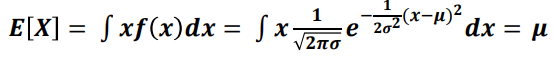
정규 분포(normal distribution)
- 정규 분포는 19세기 최대 수학자라고 불리는 독일의 가우스에 의해 제시된 것으로 가우스 분포라고도 함


정규 분포(normal distribution)의 평균과 분산


파라메터의 따른 정규 분포 모양 비교

표준 정규 분포(standard normal distribution)



정규 분포의 성질


이항분포의 정규 근사



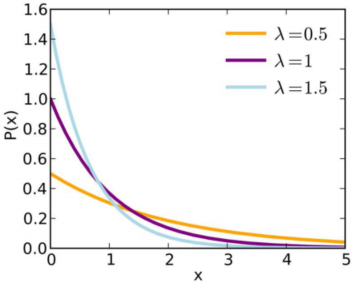
지수분포(exponential distribution)

지수분포의 평균과 분산


예시) 버스 정류장에 A버스가 평균 시간당 6대가 정차한다고 가정하자
1) 10분 이상 대기할 확률은?
2) 10분에서 20분 대기할 확률은?
풀이)

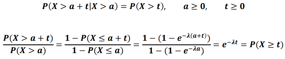
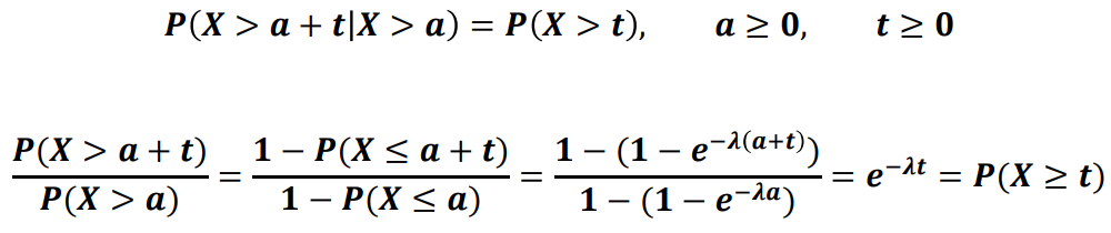
지수분포의 무기억성 (Memoryless Property)

어떤 시점 부터 소요되는 시간은 과거 시간에 영향을 받지 않음
예시) 버스를 기다리는 대기시간은 먼저 기다린 사람과 확률이 같음
전구를 한달 동안 사용 했을 때 남은 수명은 한달 간 사용했던 영향을 받지 않음, 즉 새전구와 한달 간 사용한 전구의 남은 수명은 같다고 생각함
이런 문제로 실제 적용에 문제가 있고, 생존 분석에서는 Weibull 분포 또는 log-normal 분포를 사용하여 예측함
지수분포와 포아송 분포의 관계


확률 분포의 관계도

'데이터 분석 > 통계' 카테고리의 다른 글
| [통계]모집단과 표본 분포 1)모집단과 표본 (0) | 2023.11.14 |
|---|---|
| [통계]확률 이론 1) 이산형 확률 분포 (1) | 2023.11.14 |
| [통계]확률 이론 (0) | 2023.11.14 |
| [통계]데이터의 이해 (1) | 2023.11.14 |
| [통계]기초 통계학 개요 (0) | 2023.11.14 |