RUBY
[통계]모집단과 표본 분포 1)모집단과 표본 본문
통계
5. 모집단과 표준 분포
모집단과 표본의 정의
1. 모집단과 표본
모집단(Population), 표본(Sample)

표본추출(Sampling)
- 모집단으로 부터 표본을 추출 하는 것을 Sampling이라고 하며, 표본으로부터 그 특성을 찾아내고 모집단의
특성을 추론하고자 함
모집단에서 표본을 추출하는 방법에는 여러가지가 있음
복원추출(Sampling with replacement)
- 모집단에서 데이터를 추출 할 때 하나를 추출하고 다시 넣고 추출하는 방법으로 동일한 표본이 추출 될 수 있음
비복원추출(Sampling without replacement)
- 모집단에서 데이터를 추출 할 때 하나를 추출하고 다시 넣지 않고 추출하는 방법
Random Sampling
- 모집단에서 데이터를 추출할 때 주의할 점은 편향되지 않아야 함, 각 개체가 모두 동일한 확률로 추출하는 방법
불균형 데이터(Imbalanced Data)의 문제
데이터가 불균형 데이터 일 경우 문제가 생김
우리가 예측모형을 만드는 목적은 관심이 있는 대상이 발생할 확률을 예측하는 경우가 대부분임, 그런데 예측 대상이 전체 대비 아주 낮다면? 모형의 성능이 괜찮을가? (ex: 신용 평가 모형 개발, 제조 불량 예측 등)
- Sampling 기법을 통하여 해결
- 모델을 통한 성능 개선(ex: Cost-sensitive learning)

Sampling 기법
- 관심의 대상의 아주 비율이 낮은 경우
Over Sampling
- 타겟 데이터 적은 class의 수를 많은 class의 비율만큼 증가 시킴(일정 비율로 복원추출 하는 개념)
- 과도적합의 문제 발생할 수 있음
Under sampling
- 타겟 데이터의 많은 class의 수를 적은 class의 비율만큼 감소 시킴
- 임의로 뽑은 데이터가 biased(편향)될 수 있고, 모형의 성능이 떨어질 수 있음

2. 표본 분포
통계량(Statistic)
- 표본에 기초하여 계산되는 수치 함수를 통계량이라고 함

표본분포(Sampling distribution)
- 통계량들이 이루는 분포를 표본 분포라고 함
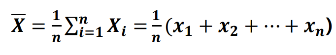
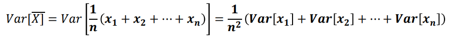
표본 평균(Sample mean)







중심극한 정리(central limit theorem)









'데이터 분석 > 통계' 카테고리의 다른 글
| [통계]확률 이론 2) 연속형 확률 분포 (1) | 2023.11.14 |
|---|---|
| [통계]확률 이론 1) 이산형 확률 분포 (1) | 2023.11.14 |
| [통계]확률 이론 (0) | 2023.11.14 |
| [통계]데이터의 이해 (1) | 2023.11.14 |
| [통계]기초 통계학 개요 (0) | 2023.11.14 |
Comments